Фотоколаж: MEDBOOK
Депутатка Чернігівської міської ради, Марина Рейко, оприлюднила відомості щодо заробітної плати генерального директора Чернігівської міської лікарні №2, Владислава Кухаря. За словами Рейко, заробітна плата Кухаря перевищує навіть заробітну плату мера Чернігова, Владислава Атрошенка.
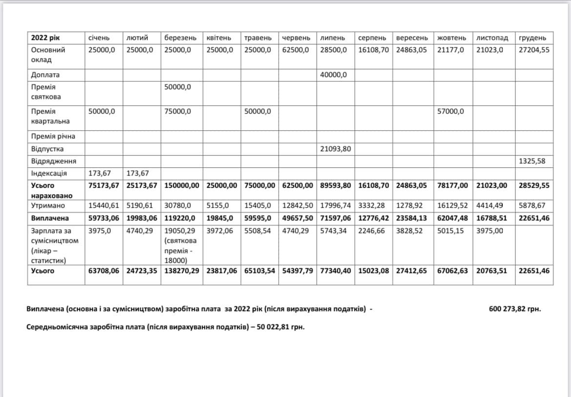
Лише в цьому році генеральний директор Чернігівської міської лікарні №2 одержав 200 000 гривень премії. Упродовж 2021-го року його преміальні виплати склали майже 255 000 гривень, а у 2022-му році він отримав 282 000 гривень. Отже, середньомісячна заробітна плата Кухаря у 2023-му році становить майже 60 000 гривень на руки.
Проте існують певні сумніви щодо обґрунтованості такої високої заробітної плати. Зокрема, з травня 2021-го року генеральний директор Владислав Кухар працює за сумісництвом у своїй лікарні, виконуючи обов’язки лікаря-статиста. Навіть у березні 2022-го року під час облоги Чернігова Кухар нарахував собі 18 000 гривень преміальних.
Цей факт може викликати підозри, що можливо в лікарні є фінансові ресурси для таких премій. Проте, за повідомленням медичного персоналу, Кухар скасував оздоровчі виплати для них у цьому році.
Крім того, виникло питання щодо збільшення кількості лікарів-статистів у лікарні, особливо з огляду на те, що в самій лікарні є відокремлений статистичний відділ із чотирма співробітниками.
Серед статистів помічена колишня завідувачка поліклінічного відділення Чернігівської міської лікарні №2, Інна Сорокіна. За нашими джерелами, призначена вона на посаду лікаря-статиста із частковою ставкою. Сорокіна одноосібно зайняла кабінет №508 у поліклініці лікарні в той час, коли статистичний відділ функціонує в одному приміщенні адмінкорпусу.
Ця ситуація є підозрілою, оскільки Інна Сорокіна, яка раніше очолювала велике відділення, згодилася на часткову ставку і прийняла посаду лікаря-статиста в тій же лікарні, де працює Владислав Кухар.
Це особливо дивно, оскільки саме Кухар призначив Олену Мойсієнко на посаду завідувачки поліклінічного відділення, яка перейшла із Чернігівської міської лікарні №3. Існує версія, що в цій ситуації можлива певна компенсація, де інтереси Інни Сорокіної збігаються із приховуванням справжніх дій генерального директора Владислава Кухаря.
Також залишаються певні сумніви щодо того, чи одержують звичайні співробітники статистичного відділу таку ж високу заробітну плату та премії, як керівництво.
Усі ці факти разом створюють складну ситуацію щодо заробітної плати та преміювання в Чернігівській міській лікарні №2. Цей скандал вимагає детального розслідування.
Фотоколаж: MEDBOOK
![]()





У медцентрі “Filada” угробили 42-річну пацієнтку
Скільки Україна отримала медичної гуманітарки?
Андрію Котяшу закидають фіктивну інвалідність
Медики Дубіль і Зуб — серед кнопкодавів проти НАБУ
Кардіологічна розкіш: як жирує Ліна Малашенко
Лебедєва “подоїла”профспілкову касу на 50 тисяч
Четверо дітей чекають на маму. Підтримаємо родину!
Червоний Хрест підтримує маломобільних громадян
Лабораторії ЗСУ перейдуть на автоматизований режим
Перелік безкоштовних ліків для серця розширять